入力と出力の2D/3Dプロット表示
ISPビューには関数依存性を表示できるだけでなく、2個の入力を2Dプロットで表示したり、1個の出力と2個の入力を3Dプロットで表示したりすることもできます。
2個の入力を2D表示する
-
In/Outputs > 2D Plot Inputs を選択します。
Select Axes ウィンドウが開きます。
-
Matrix タブを開きます。
-
Deselect All をクリックして、プリセットされている選択内容をすべて解除します。
-
EGR 行、speed 列のチェックボックスをオンにします。
-
OK をクリックします。
回転数に応じたEGR(排気再循環)の測定データが、黒色の点としてプロットウィンドウに表示されます。
赤色の点は、ISPビュー内で現在選択されているspeedとEGRの値を示しています。
-
プロット内の任意の1点をクリックします。
-
クリックされた位置に赤色の点が移動し、ISPビューが更新されます。
逆に、ISPビューでspeedまたはEGRの値を変更すると、2Dプロットが更新されます。
グローバルモデルの場合は、動作ポイントを表示するための専用の2D表示が行えます。この表示機能は、Operating Points Manager ウィンドウ、または動作ポイントマネージャ(operating points manager)と呼ばれます。動作ポイントとして指定されている変数は、燃料消費量や排出量などの出力変数に最大の影響を与えることが多いため、ISPビューの外に個別に表示すると便利です。ISPビューでは、他の入力の影響力のダイナミズムが失われてしまう場合があります。
-
In/Outputs > 2D Plot Operating Points を選択します。
Operating Points Manager ウィンドウが開きます。
ここで、ナビゲーション(つまり動作ポイントの選択)を個別に行うことができます。
-
必要に応じて、ISPビュー内の動作ポイントを非表示状態にすることができます。
-
新しい動作ポイントを選択するには、以下のいずれかを行います。
-
プロット内をクリックします。
-
プロットの上にある入力フィールドに値を入力します(動作ポイントマネージャ(A:動作ポイント値の入力フィールド、B:動作ポイント、C:測定ポイント、D:プロットの凸包)の(A))。
現在の設定を動作ポイントリストに追加するには、Add OP をクリックします。
-
-
動作ポイントが移動するたびにその動作ポイントから単一目的最適化が開始されるようにするには、Extras > Optimize on Move を選択します。
-
プロットに動作ポイントを表示する(動作ポイントマネージャ(A:動作ポイント値の入力フィールド、B:動作ポイント、C:測定ポイント、D:プロットの凸包)の(B))には、View > Show OPs を選択します。
-
プロットに測定ポイントを表示する(動作ポイントマネージャ(A:動作ポイント値の入力フィールド、B:動作ポイント、C:測定ポイント、D:プロットの凸包)の(C))には、View > Show Measurement Points を選択します。
-
プロットの凸包を表示する(動作ポイントマネージャ(A:動作ポイント値の入力フィールド、B:動作ポイント、C:測定ポイント、D:プロットの凸包)の(D))には、View > Show Convex Hull を選択します。
図1: 動作ポイントマネージャ(A:動作ポイント値の入力フィールド、B:動作ポイント、C:測定ポイント、D:プロットの凸包)
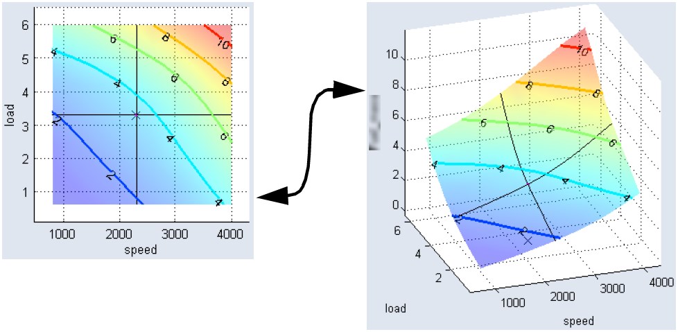
出力変数に対する入力変数の影響を3D表示する
モデリングされる出力に対する2個の入力の影響を可視化することもできます。
-
In/Outputs > 3D Plot Outputs を選択します。
入力(出力1個に対して2個)を選択するためのウィンドウが開きます。
-
ここでは一例として、出力 Fuel_mass に対して入力 speed と load を選択します。
-
Grid nodes フィールドに、軸あたりのグリッド数を入力します。
-
OK をクリックします。
speed/loadの値の範囲に対応する Fuel_mass のモデルの3Dビューが表示されます。
黒い線の交点は入力の現在値を示していますが、このプロット内でこの位置を変更することはできません。
表示されている入力変数をISPビューで変更すると、プロット内のポイントの位置も更新されます。
-
3Dビューのツールバー内の Insert Colorbar
をクリックすると、プロットの右側に出力値のカラーバーが表示されます。 -
Show Training Data をクリックすると、トレーニングデータが表示されます。
図2: speed と load に対する Fuel_mass の3Dプロット - トレーニングデータ(青い点)とカラーバーが表示された状態
-
View > Show Training Data Bounds を選択すると、トレーニングデータの上下限値が表示されます。
3Dプロットの回転や反転を行う
-
プロットの回転や反転を行うには、Rotate 3D
をクリックします。プロットが回転モードに切り替わり、プロット上のマウスポインタが丸矢印に変わります。
マウスの左ボタンを押し下げたままマウスポインタをプロット上で任意の方向に移動すると、プロットを回転したり反転することができます。
-
回転モードを終了するには、再度 Rotate 3D をクリックします。
3Dプロットに等高線と凡例を表示する
必要に応じて、3Dプロットに等高線を表示することができます。等高線は、適合マップと結果マップにも表示できます。詳細は適合 を参照してください。
-
3Dプロット内で View > Contour Mode を選択します。
プロットに等高線が追加されます。プロットが回転し、speed - load面を上部から見下ろした表示になります。
-
必要に応じてプロットを回転させます。
図3: speed と load に対する Fuel_mass の3Dプロット(等高線モード)
-
等高線モードの設定を変更するには、View > Contour Options > * を選択します。
詳細はオンラインヘルプを参照してください。
View > Contour * コマンドは、適合マップと結果マップでも使用できます。適合 を参照してください。