Model Screening

Extras menu > Model Screening

In this window, you can perform a model analysis in three ways:

Note  

The calculated model outputs can then be exported to a file (File > Exports Results).

The Model Screening window contains the following menus:

ClosedFile

  • Export Results [Strg/ctrl+E]: exports the calculations performed in an Excel file (*.xls, *.xlsx), or comma-separated values (*.csv).

  • Append Results: model screening results are appended to an existing Excel file as a new sheet.

  • Copy Results to Clipboard

  • Save Input Template: allows exporting the defined grid of input values into an Excel file.

  • Close: closes the Model Screening window.

ClosedExtras

  • Select Outputs

    Opens the ClosedOutput Selection window where you can select the outputs to be calculated.

  • Restrict Evaluation: Allows for restrictions regarding the evaluation.

    • Use Map Bounds: If this checkbox is enabled, the limits of the input values defined under Calibration > Map Bounds are used.

    • Label Points Outside Hull as NaN: Points outside the selected hull are labeled with NaN.

    • Calculate Model Sigma: The Model Sigma of the Model Prediction will be calculated and displayed for every output in the Sigma <Output> column.

    • Label Non-Valid Points as NaN: Points outside the area in which the model is valid are labeled with NaN.

    • Set All of the Above: All restrictions are applied.

ClosedDefine Input Points as Grid

    The individual columns have the following meaning:

    • Input, Min, Max, Precision: The name of the input, its minimum, maximum and quantization (resolution).

      If "Precision = 0" , exact values are calculated; otherwise values are rounded up or down accordingly.

    • Definition Type: The type of definition of the input values for which the outputs should be calculated is specified here.

      • Start & Stop: ASCMO-STATIC calculates <Count> values (between the values specified in the following columns).

      • Support Points: <Count> values can be specified manually (in the following array).

        Note  

        For the input SCV, Start & Stop cannot be selected as Definition Type. The discrete values 0 and 1 are set. But you can set values between 0 and 1 in the ISP view.

    • Columns with Input Values: <Count> values (Definition Type = Start & Stop) or editing fields for manual entry (Definition Type = Support Points).

    • Count: Number of input values at which the outputs should be calculated.

ClosedResults of Evaluation

    This area shows the table with the results after Compute Model Prediction has been performed.

    • Checkboxes

      • Use Map Bounds: If this checkbox is enabled, the limits of the input values defined under Calibration → Map Bounds are used.

      • Label Points Outside Hull with as NaN: Points outside the selected hull (see also Configure Convex Hull on Inputs) are labeled with NaN.

      • Calculate Model Sigma: The Model Sigma of the Model Prediction will be calculated and displayed for every output in the Sigma <Output> column.

      • Label Non-Valid Points as NaN: Points outside the area in which the model is valid are labeled with NaN.

    • Number of Evaluations field: The number of necessary calculations (resulting from the number of inputs and <count>)

    • Compute Model Prediction: Click to calculate the model prediction for the defined input values. The results are displayed in the Results of Evaluation field.

    • Scatter Plot

      If pressed, the ClosedModel Screening Scatter Plot window opens. See Scatter Plots for Model Screening for more information on scatter plots for model screening, and Scatter Plot for further information on scatter plot windows in general.

    • table

      The table shows the values of inputs as a result of the definition of the grid, and the results after Compute Model Prediction has been performed.

ClosedImport Input Points from File

    Here you can specify a file from which the values of the inputs will be read. The Round All Inputs option allows rounding all input values read.

    • Load Input List from File area

      • File field: Use the button to select the input list in Excel (*.xls, *.xslx, *.xlsm), MDA export (*.ascii), comma-separated value (*.csv, *.txt) or MDF (*.dat, *.mf4, *.mdf, *.mdf3) format. Path and name of the selected file are shown in the File field.

      • table shows the content of the input file.

    • Rounding of Values area

      • Round All Inputs: Activates rounding for all inputs.

      • Don't Round Any Input: Deactivates rounding for all inputs.

      • table: The Input column lists all inputs in the file, the Use Rounding column allows the activation of rounding for individual inputs, and the Precision column lists the rounding precision.

ClosedUse Inputs from Maps

    Note  

    The Use Inputs from Maps tab is only available if operating points have been defined. See also OP-Axis.

    Here you can define operating point lists and reference points from calibration maps as input values.

    • Manual OP Grid

      If this checkbox is activated, you can manually specify a grid of operating points. Only the values of the operating point axes Speed and Load needs to be defined. The other values will be generated due to the existing calibration maps.

    • Grid nodes from Maps

      If this checkbox is activated, you can select a calibration map with reference points.

    • OP lists

      If this checkbox is activated, you can select one or all of the operating points lists in the project.

    • Driving Cycles

      If this checkbox is activated, you can select one or all of the driving cycles in the project.

    • OP list from file

      If this checkbox is activated, you can enter or select (via the button) an operating points list stored in Excel (*.xls, *.xslx, *.xlsm), MDA export (*.ascii), comma-separated value (*.csv, *.txt) or MDF (*.dat, *.mf4, *.mdf, *.mdf3)

    • Update

      Updates the configuration when relevant parameters have been modified in ASCMO-STATIC (e.g. in Calibration Maps).

    • Allow duplicates

      If this checkbox is activated, duplicate entries, e.g. in a driving cycle, are kept.

Scatter Plots for Model Screening

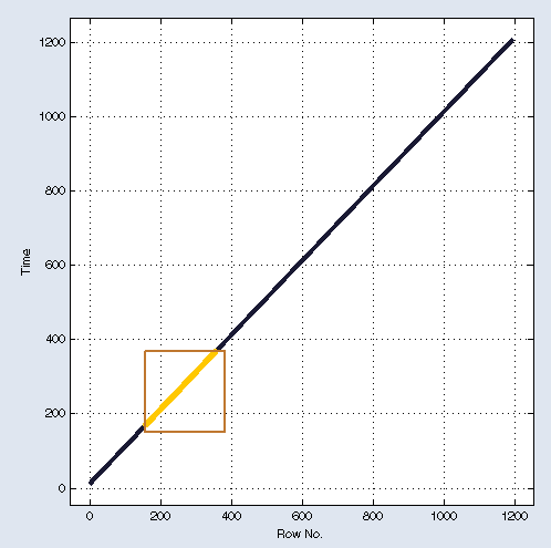
If you have loaded and selected a driving cycle in the Use Inputs from Maps tab, you can plot time versus Row No. in the scatter plots for model screening.

Note  

The Time axis is only displayed if you have selected only one driving cycle and nothing else.

You can draw a rectangle around a portion of the plot and move it along the line.

With that, you can visualize the chronological order of the points in the speed/load axes.