粗度の考慮

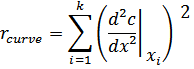
カーブの粗度(Roughness)

粗度(Roughness)r は、カーブ c の各ブレイクポイントにおける勾配の変化を表します。カーブが式c(x) で与えられる場合、その粗度は各ブレイクポイント xi, i=1..k における二次導関数を合計することにより得られます。

つまり、カーブでは以下のようになります。

式. 1: カーブの粗度 r

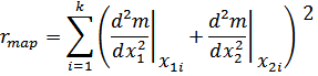
マップの粗度(Roughness)

マップ m = m(x1, x2) の粗度については、以下のように第2の入力変数を考慮する必要があります。

式. 2: マップの粗度

ここで、K はマップ内のブレイクポイント (x11, x21), ..., (x1K, x2K) の数です。

粗度は、Parameter Optimization PropertiesOptimization Step > Optimization Criteria ボタン)に表示されます。