Consideration of the Roughness

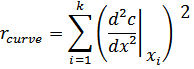
Roughness of a Curve

The roughness r describes the change in the slope at the support points of the curve c. If the curve is given by an expression c(x), the roughness is given as the sum of the second derivatives at the support points xi, i=1..k.

For a curve, this means:

Equ. 1: Roughness r of a curve

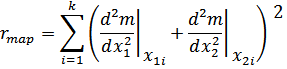
Roughness of a Map

The Roughness of a map m = m(x1, x2) has to consider the second input variable and therefore is defined as:

Equ. 2: Roughness of a map

where K is the number of the support points (x11, x21), ... , (x1K, x2K) of the map.

The roughness is shown in the Parameter Optimization Properties (Optimization Step > Optimization Criteria button).